常见算法思想的分析

算法思想是解决问题的核心,万丈高楼起于平地,在算法中也是如此,本章主要学习 6 中常见的算法分别为:递归算法、分治算法、贪心算法、回溯算法、动态规划、枚举算法,95% 的算法都是基于这 6 种算法思想,接下来介绍一下这 6 种算法思想,帮助我们理解及解决各种算法问题。

递归算法

算法策略

递归算法是一种直接或者间接调用自身函数或者方法的算法。

递归算法的实质是把问题分解成规模缩小的同类问题的子问题,然后递归调用方法来表示问题的解。递归算法对解决一大类问题很有效,它可以使算法简洁和易于理解。

优缺点:

  • 优点
    • 实现简单易上手。
  • 缺点
    • 递归算法对常用的算法如普通循环等,运行效率较低;
    • 在递归调用的过程当中系统为每一层的返回点、局部量等开辟了栈来存储,递归太深,容易发生栈溢出。

适用场景

递归算法一般用于解决三类问题:

  • 数据的定义是按递归定义的。(斐波那契数列)
  • 问题解法按递归算法实现。(回溯)
  • 数据的结构形式是按递归定义的。(树的遍历,图的搜索)

递归的解题策略:

  • 第一步:明确你这个函数的输入输出,先不管函数里面的代码什么,而是要先明白,你这个函数的输入是什么,输出是什么,功能是什么,要完成什么样的一件事。
  • 第二步:寻找递归结束条件,我们需要找出什么时候递归结束,之后直接把结果返回。
  • 第三步:明确递归关系式,怎么通过各种递归调用来组合解决当前问题。

使用递归算法求解的一些经典问题

  • 斐波那契数列
  • 汉诺塔问题
  • 树的遍历及相关操作

DOM 树为例

下面以以 DOM 为例,实现一个 document.getElementById 功能

由于 DOM 是一棵树,而树的定义本身就是用的递归定义,所以用递归的方法处理树,会非常地简单自然。

第一步:明确你这个函数的输入输出

从 DOM 根节点一层层往下递归,判断当前节点的 id 是否是我们要寻找的 id='d-cal'

输入:DOM 根节点 document ,我们要寻找的 id='d-cal'

输出:返回满足 id='sisteran' 的子结点

1
function getElementById(node, id) {}

第二步:寻找递归结束条件

从 document 开始往下找,对所有子结点递归查找他们的子结点,一层一层地往下查找:

  • 如果当前结点的 id 符合查找条件,则返回当前结点
  • 如果已经到了叶子结点了还没有找到,则返回 null
1
2
3
4
5
6
function getElementById(node, id) {
// 当前结点不存在,已经到了叶子结点了还没有找到,返回 null
if (!node) return null
// 当前结点的 id 符合查找条件,返回当前结点
if (node.id === id) return node
}

第三步:明确递归关系式

当前结点的 id 不符合查找条件,递归查找它的每一个子结点

1
2
3
4
5
6
7
8
9
10
11
12
13
function getElementById(node, id) {
// 当前结点不存在,已经到了叶子结点了还没有找到,返回 null
if (!node) return null
// 当前结点的 id 符合查找条件,返回当前结点
if (node.id === id) return node
// 前结点的 id 不符合查找条件,继续查找它的每一个子结点
for (var i = 0; i < node.childNodes.length; i++) {
// 递归查找它的每一个子结点
var found = getElementById(node.childNodes[i], id)
if (found) return found
}
return null
}

就这样,我们的一个 document.getElementById 功能已经实现了,

最后在控制台验证一下,执行结果如下图所示:

递归算法

使用递归的优点是代码简单易懂,缺点是效率比不上非递归的实现。Chrome 浏览器的查 DOM 是使用非递归实现。非递归要怎么实现呢?

如下代码:

1
2
3
4
5
6
7
8
function getByElementId(node, id) {
//遍历所有的Node
while (node) {
if (node.id === id) return node
node = nextElement(node)
}
return null
}

还是依次遍历所有的 DOM 结点,只是这一次改成一个 while 循环,函数 nextElement 负责找到下一个结点。所以关键在于这个 nextElement 如何实现非递归查找结点功能:

1
2
3
4
5
6
7
8
9
10
11
12
13
14
15
16
17
18
19
20
21
// 深度遍历
function nextElement(node) {
// 先判断是否有子结点
if (node.children.length) {
// 有则返回第一个子结点
return node.children[0]
}
// 再判断是否有相邻结点
if (node.nextElementSibling) {
// 有则返回它的下一个相邻结点
return node.nextElementSibling
}
// 否则,往上返回它的父结点的下一个相邻元素,相当于上面递归实现里面的for循环的i加1
while (node.parentNode) {
if (node.parentNode.nextElementSibling) {
return node.parentNode.nextElementSibling
}
node = node.parentNode
}
return null
}

在控制台里面运行这段代码,同样也可以正确地输出结果。不管是非递归还是递归,它们都是深度优先遍历,这个过程如下图所示:

递归算法

实际上 getElementById 浏览器是用的一个哈希 map 存储的,根据 id 直接映射到 DOM 结点,而 getElementsByClassName 就是用的这样的非递归查找。

具体详见:我接触过的前端数据结构与算法

分治算法

算法策略

在计算机科学中,分治算法是一个很重要的算法,快速排序、归并排序等都是基于分治策略进行实现的,所以,建议理解掌握它。

分治,顾名思义,就是分而治之,将一个复杂的问题,分成两个或多个相似的子问题,在把子问题分成更小的子问题,直到更小的子问题可以简单求解,求解子问题,则原问题的解则为各子问题解的合并。

适用场景

当出现满足以下条件的问题,可以尝试只用分治策略进行求解:

  • 原始问题可以分成多个相似的子问题
  • 子问题可以很简单的求解
  • 原始问题的解是子问题解的合并
  • 各个子问题是相互独立的,不包含相同的子问题

分治的解题策略:

  • 第一步:分解,将原问题分解为若干个规模较小,相互独立,与原问题形式相同的子问题
  • 第二步:解决,解决各个子问题
  • 第三步:合并,将各个子问题的解合并为原问题的解

使用分治法求解的一些经典问题

  • 二分查找
  • 归并排序
  • 快速排序
  • 汉诺塔问题
  • React 时间分片

二分查找

也称折半查找算法,它是一种简单易懂的快速查找算法。例如我随机写 0-100 之间的一个数字,让你猜我写的是什么?你每猜一次,我就会告诉你猜的大了还是小了,直到猜中为止。

第一步:分解

每次猜的数都把上一次的结果分出大的一组和小的一组,两组相互独立

  • 选择数组中的中间数
1
2
3
4
5
6
7
8
function binarySearch(items, item) {
// low、mid、high将数组分成两组
var low = 0,
high = items.length - 1,
mid = Math.floor((low + high) / 2),
elem = items[mid]
// ...
}

第二步:解决子问题

查找数与中间数对比

  • 比中间数低,则去中间数左边的子数组中寻找;
  • 比中间数高,则去中间数右边的子数组中寻找;
  • 相等则返回查找成功
1
2
3
4
5
6
7
8
9
10
11
12
while (low <= high) {
// 比中间数高
if (elem < item) {
low = mid + 1
} else if (elem > item) {
// 比中间数低
high = mid - 1
} else {
// 相等
return mid
}
}

第三步:合并

1
2
3
4
5
6
7
8
9
10
11
12
13
14
15
16
17
18
function binarySearch(items, item) {
var low = 0,
high = items.length - 1,
mid,
elem
while (low <= high) {
mid = Math.floor((low + high) / 2)
elem = items[mid]
if (elem < item) {
low = mid + 1
} else if (elem > item) {
high = mid - 1
} else {
return mid
}
}
return -1
}

需要注意的是:二分法只能应用于数组有序的情况,如果数组无序,二分查找就不能起作用了

1
2
3
4
5
6
7
8
9
10
11
12
13
14
15
16
17
18
19
20
21
22
23
24
25
26
27
28
function binarySearch(items, item) {
// 快排
quickSort(items)
var low = 0,
high = items.length - 1,
mid,
elem
while (low <= high) {
mid = Math.floor((low + high) / 2)
elem = items[mid]
if (elem < item) {
low = mid + 1
} else if (elem > item) {
high = mid - 1
} else {
return mid
}
}
return -1
}

// 测试
var arr = [2, 3, 1, 4]
binarySearch(arr, 3)
// 2

binarySearch(arr, 5)
// -1

贪心算法

算法策略

贪心算法,故名思义,总是做出当前的最优选择,即期望通过局部的最优选择获得整体的最优选择。

某种意义上说,贪心算法是很贪婪、很目光短浅的,它不从整体考虑,仅仅只关注当前的最大利益,所以说它做出的选择仅仅是某种意义上的局部最优,但是贪心算法在很多问题上还是能够拿到最优解或较优解,所以它的存在还是有意义的。

适用场景

在日常生活中,我们使用到贪心算法的时候还是挺多的,例如:

从 100 章面值不等的钞票中,抽出 10 张,怎样才能获得最多的价值?

我们只需要每次都选择剩下的钞票中最大的面值,最后一定拿到的就是最优解,这就是使用的贪心算法,并且最后得到了整体最优解。

但是,我们任然需要明确的是,期望通过局部的最优选择获得整体的最优选择,仅仅是期望而已,也可能最终得到的结果并不一定不能是整体最优解。

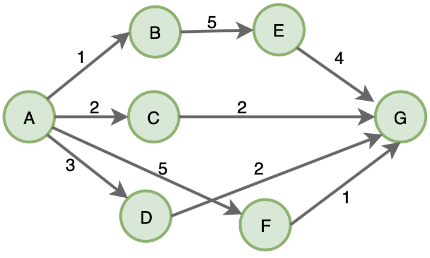
例如:求取 A 到 G 最短路径:

递归算法

根据贪心算法总是选择当前最优选择,所以它首先选择的路径是 AB,然后 BE、EG,所得到的路径总长为 1 + 5 + 4 = 10,然而这并不是最短路径,最短路径为 A->C->G : 2 + 2 = 4,所以说,贪心算法得到得并不一定是最优解。

那么一般在什么时候可以尝试选择使用贪心算法呢?

当满足一下条件时,可以使用:

  • 原问题复杂度过高
  • 求全局最优解的数学模型难以建立或计算量过大
  • 没有太大必要一定要求出全局最优解,“比较优”就可以

如果使用贪心算法求最优解,可以按照以下 步骤求解

  • 首先,我们需要明确什么是最优解(期望)
  • 然后,把问题分成多个步骤,每一步都需要满足:
    • 可行性:每一步都满足问题的约束
    • 局部最优:每一步都做出一个局部最优的选择
  • 不可取消:选择一旦做出,在后面遇到任何情况都不可取消
  • 最后,叠加所有步骤的最优解,就是全局最优解

经典案例:活动选择问题

使用贪心算法求解的经典问题有:

  • 最小生成树算法
  • 单源最短路径的 迪杰斯特拉算法(Dijkstra 算法)
  • 哈夫曼编码(Huffman 压缩编码)
  • 背包问题
  • 活动选择问题等
    其中活动选择问题是最简单的,这里详细介绍这个。

活动选择问题是《算法导论》上的例子,也是一个非常经典的问题。有 n 个活动(a1,a2,…,an)需要使用同一个资源(例如教室),资源在某个时刻只能供一个活动使用。每个活动 ai 都有一个开始时间 si 和结束时间 fi 。一旦被选择后,活动 ai 就占据半开时间区间 [si,fi) 。如果 [si,fi) 和 [sj,fj) 互不重叠,ai 和 aj 两个活动就可以被安排在这一天。

该问题就是要安排这些活动,使得尽量多的活动能不冲突的举行。例如下图所示的活动集合 S,其中各项活动按照结束时间单调递增排序。

递归算法

共有 7 个活动,它们在 18 个小时内需要占用的时间如上图,如何选择活动,能让这间教室利用率最高喃(能够举行更多的活动)?

贪心算法对这种问题的解决很简单的,它开始时刻开始选择,每次选择开始时间与与已选择活动不冲突的,结束时间又比较靠前的活动,这样会让剩下的时间区间更长。

递归算法

  • 首先 a1 活动的结束时间最早,选择 a1 活动
  • a1 结束后,a2 有时间冲突不可选择,a3、a4 都可选择,但 a4 结束时间最早,选择 a4
  • 依次选择时间没有冲突的,又结束时间最早的活动
    最终选择活动为 a1,a4,a5,a7。为最优解。

回溯算法

算法策略

回溯算法是一种搜索法,试探法,它会在每一步做出选择,一旦发现这个选择无法得到期望结果,就回溯回去,重新做出选择。深度优先搜索利用的就是回溯算法思想。

适用场景

回溯算法很简单,它就是不断的尝试,直到拿到解。它的这种算法思想,使它通常用于解决广度的搜索问题,即从一组可能的解中,选择一个满足要求的解。

使用回溯算法的经典案例

  • 深度优先搜索
  • 0-1 背包问题
  • 正则表达式匹配
  • 八皇后
  • 数独
  • 全排列
    这里以正则表达式匹配为例,介绍一下

正则表达式匹配

1
2
3
4
var string = 'abbc'
var regex = /ab{1,3}c/
console.log(string.match(regex))
// ["abbc", index: 0, input: "abbc", groups: undefined]

递归算法

在第 5 步匹配失败,此时 b{1,3} 已经匹配到了两个 b 正在尝试第三个 b ,结果发现接下来是 c 。此时就需要回溯到上一步, b{1,3} 匹配完毕(匹配到了 bb ),然后再匹配 c ,匹配到了 c 匹配结束。

动态规划

算法策略

动态规划也是将复杂问题分解成小问题求解的策略,与分治算法不同的是,分治算法要求各子问题是相互独立的,而动态规划各子问题是相互关联的。

所以,动态规划适用于子问题重叠的情况,即不同的子问题具有公共的子子问题,在这种情况下,分治策略会做出很多不必要的工作,它会反复求解那些公共子子问题,而动态规划会对每个子子问题求解一次,然后保存在表格中,如果遇到一致的问题,从表格中获取既可,所以它无需求解每一个子子问题,避免了大量的不必要操作。

适用场景

动态规划适用于求解最优解问题,比如,从面额不定的 100 个硬币中任意选取多个凑成 10 元,求怎样选取硬币才可以使最后选取的硬币数最少又刚好凑够了 10 元。这就是一个典型的动态规划问题。它可以分成一个个子问题(每次选取硬币),每个子问题又有公共的子子问题(选取硬币),子问题之间相互关联(已选取的硬币总金额不能超过 10 元),边界条件就是最终选取的硬币总金额为 10 元。

针对上例,也许你也可以说,我们可以使用回溯算法,不断的去试探,但回溯算法是使用与求解广度的解(满足要求的解),如果是用回溯算法,我们需要尝试去找所有满足条件的解,然后找到最优解,时间复杂度为 O(2^n^) ,这性能是相当差的。大多数适用于动态规划的问题,都可以使用回溯算法,只是使用回溯算法的时间复杂度比较高而已。

最后,总结一下,我们使用动态规划求解问题时,需要遵循以下几个重要步骤:

  • 定义子问题
  • 实现需要反复执行解决的子问题部分
  • 识别并求解出边界条件

使用动态规划求解的一些经典问题

爬楼梯问题:假设你正在爬楼梯。需要 n 阶你才能到达楼顶。每次你可以爬 1 或 2 个台阶。你有多少种不同的方法可以爬到楼顶呢?
背包问题:给出一些资源(有总量及价值),给一个背包(有总容量),往背包里装资源,目标是在背包不超过总容量的情况下,装入更多的价值
硬币找零:给出面额不定的一定数量的零钱,以及需要找零的钱数,找出有多少种找零方案
图的全源最短路径:一个图中包含 u、v 顶点,找出从顶点 u 到顶点 v 的最短路径
最长公共子序列:找出一组序列的最长公共子序列(可由另一序列删除元素但不改变剩下元素的顺序实现)
这里以最长公共子序列为例。

爬楼梯问题

这里以动态规划经典问题爬楼梯问题为例,介绍求解动态规划问题的步骤。

第一步:定义子问题

如果用 dp[n] 表示第 n 级台阶的方案数,并且由题目知:最后一步可能迈 2 个台阶,也可迈 1 个台阶,即第 n 级台阶的方案数等于第 n-1 级台阶的方案数加上第 n-2 级台阶的方案数

第二步:实现需要反复执行解决的子子问题部分

1
dp[n] = dp[n−1] + dp[n−2]

第三步:识别并求解出边界条件

1
2
3
4
// 第 0 级 1 种方案
dp[0] = 1
// 第 1 级也是 1 种方案
dp[1] = 1

最后一步:把尾码翻译成代码,处理一些边界情况

1
2
3
4
5
6
7
let climbStairs = function (n) {
let dp = [1, 1]
for (let i = 2; i <= n; i++) {
dp[i] = dp[i - 1] + dp[i - 2]
}
return dp[n]
}

复杂度分析:

  • 时间复杂度:O(n)
  • 空间复杂度:O(n)

优化空间复杂度:

1
2
3
4
5
6
7
8
9
10
11
let climbStairs = function (n) {
let res = 1,
n1 = 1,
n2 = 1
for (let i = 2; i <= n; i++) {
res = n1 + n2
n1 = n2
n2 = res
}
return res
}

空间复杂度:O(1)

枚举算法

枚举算法本质上就是搜索算法

算法策略

枚举算法的思想是:将问题的所有可能的答案一一列举,然后根据条件判断此答案是否合适,保留合适的,丢弃不合适的。

优缺点:

  • 优点:算法简单,在局部地方使用枚举法,效果十分的好
  • 缺点:运算量过大,当问题的规模变大的时候,循环的阶数越大,执行速度越慢

解题思路

确定枚举对象、枚举范围和判定条件。
逐一列举可能的解,验证每个解是否是问题的解。

枚举算法步骤:

  • 确定解题的可能范围,不能遗漏任何一个真正解,同时避免重复。
  • 判定是否是真正解的方法。
  • 为了提高解决问题的效率,使可能解的范围将至最小

枚举算法的流程图如下所示:

递归算法

百钱买百鸡问题

有一个人有一百块钱,打算买一百只鸡。到市场一看,公鸡一只 3 元,母鸡一只 5 元,小鸡 3 只 1 元,试求用 100 元买 100 只鸡,各为多少才合适?

根据题意我们可以得到方程组:

1
2
3
4
// x 公鸡,y 母鸡 z 小鸡
3X + 5Y + Z/3 = 100
X + Y + Z = 100
(100 > X,Y,Z > 0, Z%3 == 0)

根据这两个公式,我们可以写出最为简单的代码,一一列举所有解进行枚举

1
2
3
4
5
6
7
8
9
10
11
let x, y, z
for (x = 0; x < 100; x++) {
for (y = 0; y < 100; y++) {
for (z = 0; z < 100; ) {
if (x + y + z == 100 && 3 * x + 5 * y + z / 3 == 100) {
console.log(`公鸡:${x}只,母鸡:${y}只,小鸡:${z}只`)
}
z += 3
}
}
}

然而我们可以根据已知条件来进行优化代码,减少枚举的次数:

三种鸡的和是固定的,我们只要枚举二种鸡(x,y),第三种鸡就可以根据约束条件求得z = 100 - x - y,这样就缩小了枚举范围。
另外我们根据方程特点,可以消去一个未知数,得到下面

1
2
3
4X + 7Y = 100
X + Y + Z = 100
(X,Y,Z > 0, Z%3 == 0) =>> 0 <= x < = 25

因此代码可以优化为下面这样子:

1
2
3
4
5
6
7
8
9
10
for (x = 0; x <= 25; x++) {
y = 100 - 4 * x
if (y % 7 == 0 && y >= 0) {
y /= 7
z = 100 - x - y
if (z % 3 == 0 && 3 * x + 5 * y + z / 3 == 100) {
console.log(`公鸡:${x}只,母鸡:${y}只,小鸡:${z}只`)
}
}
}

运行结果如下:

公鸡:4 只,母鸡:12 只,小鸡:84 只
公鸡:11 只,母鸡:8 只,小鸡:81 只
公鸡:18 只,母鸡:4 只,小鸡:78 只
公鸡:25 只,母鸡:0 只,小鸡:75 只

采用枚举的方法进行问题求解,需要注意 3 个问题:

  • 简单数学模型,数学模型中变量数量尽量少,它们之间相互独立。这样问题解的搜索空间的维度就小,反应到程序代码中,循环嵌套的层次就会少。我们上面从 3 维优化到一维。
  • 减少搜索的空间。利用已有知识,缩小数学模型中各个变量的取值范围,避免不必要的计算。反应到程序代码中,循环体被执行的次数少
  • 采用合适的搜索顺序。对搜索空间的遍历顺序要与数学模型中的条件表达式一致。